Алматы қаласы Білім басқармасының
"№162 жалпы білім беретін мектеп"
коммуналдық мемлекеттік мекемесі
Қабылдау бөлімі :
+7(727) 243-38-84
Есепші бөлімі:
+7(727) 243-38-84
eOtinish.kz
Нашар көрушілер
нұсқасы
19
январь
2024

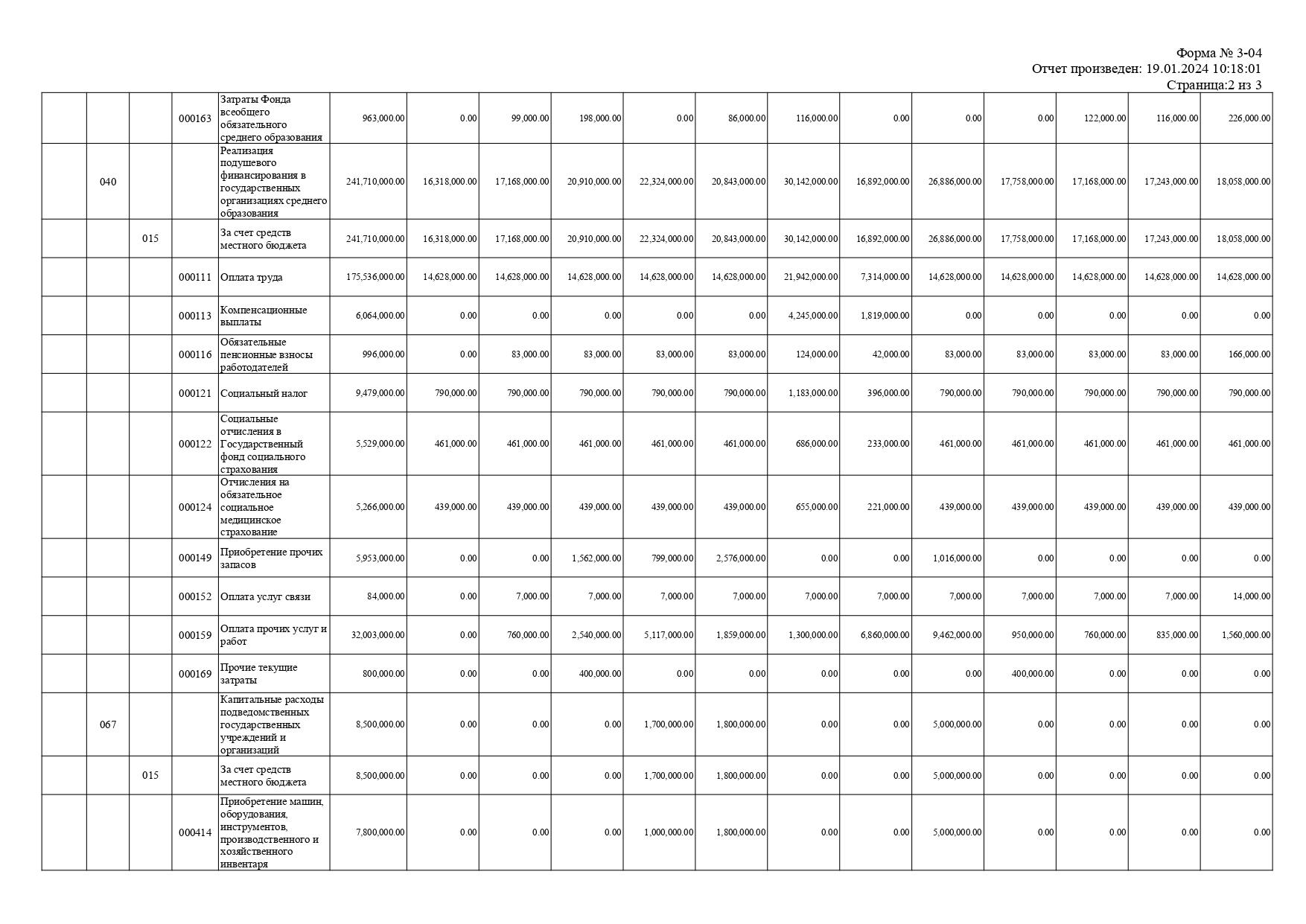
2024 жылға арналған бекітілген бюджет

Осы беттің QR-коды:
QR-код этой страницы: